STB: Sacombank hoàn thành đề án tái cơ cấu, đà tăng trưởng mạnh và bền vững (Part 8)

Chủ đề trong 'Thị trường chứng khoán' bởi bnw2006, 04/04/2024.

133 người đang online, trong đó có 53 thành viên. 03:41 (UTC+07:00) Bangkok, Hanoi, Jakarta
  1. 1 người đang xem box này (Thành viên: 0, Khách: 1)
Chủ đề này đã có 577447 lượt đọc và 2082 bài trả lời
  1. Hoanghh

    Hoanghh Thành viên gắn bó với f319.com

    Tham gia ngày:
    05/05/2021
    Đã được thích:
    6.009
    Khi nào ra đc tin đấu thôi thì cũng đã ăn đc mới mớ r! Đấu đc hay k thì cũng cất két kha khá kệ mẹ lái
    tinnoibo thích bài này.
  2. 138nam

    138nam Thành viên gắn bó với f319.com

    Tham gia ngày:
    25/09/2007
    Đã được thích:
    19.462
    Cứ nghi thôi, cả thị trường đều nghi ngờ về nó. Đó mới là cái hay của kèo này lúc nó nổ thì
    Ối giời ơi!
    Bin7723 thích bài này.
  3. tinnoibo

    tinnoibo Thành viên gắn bó với f319.com

    Tham gia ngày:
    02/11/2014
    Đã được thích:
    15.972
    Ý vậy
    --- Gộp bài viết, 08/06/2024, Bài cũ: 08/06/2024 ---
    Cả cn và doanh nhân Việt Nam h toàn siêu nợ/ kiếm xoay lấy đâu ra tiền tươi mà mua loại này
  4. phikhonglo

    phikhonglo Thành viên này đang bị tạm khóa Đang bị khóa Not Official

    Tham gia ngày:
    07/03/2010
    Đã được thích:
    48.318
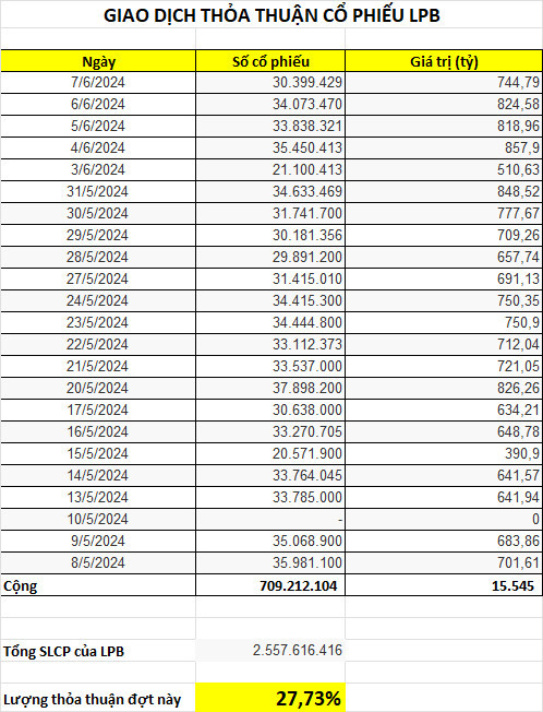
    Để ý bọn nào đang sang tay LPB khủng khiếp đoạn vừa qua, có thể liên quan đến kèo STB.
    --- Gộp bài viết, 08/06/2024 ---
    [/QU[​IMG]
    Paladin1987, hell_angel0910NhocSim thích bài này.
  5. 138nam

    138nam Thành viên gắn bó với f319.com

    Tham gia ngày:
    25/09/2007
    Đã được thích:
    19.462
    Tiền đây chứ đâu nữa =))
    Bin7723 thích bài này.
  6. tqh24

    tqh24 Thành viên gắn bó với f319.com

    Tham gia ngày:
    21/11/2011
    Đã được thích:
    17.538
    Chờ tờ A4 công bố thì lúc đó STB đã lên sát giá đấu rồi.
  7. phikhonglo

    phikhonglo Thành viên này đang bị tạm khóa Đang bị khóa Not Official

    Tham gia ngày:
    07/03/2010
    Đã được thích:
    48.318
    Chỉ thực hiện xong kèo 32.5% TB, STB mới lột xác thực sự về hiệu quả kinh doanh. Hết buộc trói, dễ huy động vốn tây với giá rẻ. Hiện giờ xem như TCC chưa hoàn thành, bị bó tay bó chân.
  8. 138nam

    138nam Thành viên gắn bó với f319.com

    Tham gia ngày:
    25/09/2007
    Đã được thích:
    19.462
    Gần chục năm gom gạo chất đầy kho lương, còn vài tháng nữa là mở kho thóc sao lại ko ngồi đc nhỉ =))=))=))
    phikhonglo thích bài này.
  9. phikhonglo

    phikhonglo Thành viên này đang bị tạm khóa Đang bị khóa Not Official

    Tham gia ngày:
    07/03/2010
    Đã được thích:
    48.318
    Còn lâu mới thoát được nhé. Ôm xuyên vài năm, ăn được mới thôi.:)):)):))
  10. 138nam

    138nam Thành viên gắn bó với f319.com

    Tham gia ngày:
    25/09/2007
    Đã được thích:
    19.462
    Đuổi bố cũng éo đi, ngồi lì ăn vạ
    Bin7723phikhonglo thích bài này.

Chia sẻ trang này